Contoh Surat Permohonan Registrasi Klinik

13 Contoh Surat Permohonan Untuk Berbagai Keperluan Lengkap

13 Contoh Surat Permohonan Untuk Berbagai Keperluan Lengkap

13 Contoh Surat Permohonan Dana Izin Bantuan Kerja Dll Benar

13 Contoh Surat Permohonan Dana Izin Bantuan Kerja Dll Benar

Contoh Surat Pengajuan Permohonan Surat Pendidikan Dasar Cv Kreatif

Contoh Surat Pengajuan Permohonan Surat Pendidikan Dasar Cv Kreatif

Hasil Gambar Untuk Contoh Surat Permohonan Pendamping Haji

Hasil Gambar Untuk Contoh Surat Permohonan Pendamping Haji

Contoh Surat Permohonan Pinjaman Modal Usaha Atau Dana Kur Di Bank

Contoh Surat Permohonan Pinjaman Modal Usaha Atau Dana Kur Di Bank

Contoh Surat Permohonan Docx

Contoh Surat Permohonan Docx

Contoh Surat Permohonan Docx

KOP SURAT PERUSAHAAN SURAT PERMOHONAN REGISTRASI AKUN APLIKASI HILIR MIGAS ONLINE A.

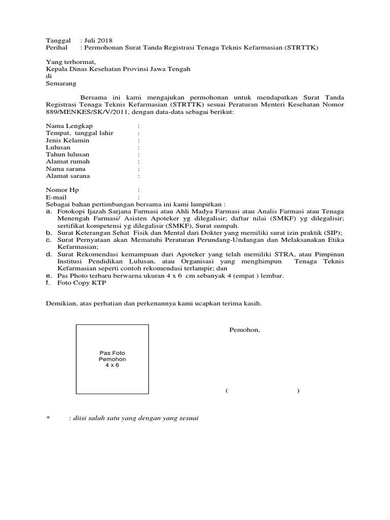
Contoh surat permohonan registrasi klinik. Dengan ini saya mengajukan permohonan registrasi akun pada aplikasi online hilir migas dan mematuhi ketentuan dalam peraturan perundang-undangan. Permohonan Surat Tanda Registrasi Tenaga Teknis Kefarmasian STRTTK Yang terhormat Kepala Dinas Kesehatan Provinsi Jawa Timur di Tempat Bersama ini kami mengajukan permohonan untuk mendapatkan Surat Tanda Registrasi Tenaga Teknis Kefarmasian STRTTK sesuai Peraturan Menteri Kesehatan Nomor 889MENKESPerV2011 tentang Registrasi Izin Praktik dan Izin Kerja. 9 Upload Surat Permohonan Registrasi Surat Resmi dari pimpinan faskes ditujukan Ke Sesditjen Bina Upaya Kesehatan perihal Permohonan Kode faskes pdf doc jpeg atau lainnya.

Surat Tanda Registrasi Drg. Alamat Badan Usaha. Untuk bisa mendapatkan surat rekomendasi tersebut perlu ada surat permohonan tertulis dari pemohon yang isinya adalah memohon kepada PDGI Cabang Madiun untuk memberikan rekomendasi kepadanya supaya diberikan surat ijin praktek SIP di Klinik LimaDua.

CONTOH PROPOSAL 17 AGUSTUS HUT RI KE 74 - Proposal atau berkas pengajuan permohonan biasanya kita butuhkan sebagai bentuk permohonan b. Surat rasmi permohonan klinik panel perkeso surat rasmi permohonan klinik panel pmcare surat rasmi permohonan klinik panel tnb surat rasm. Contoh Surat Lamaran Kerja di Rumah Sakit tentunya sangat diperlukan bagi mereka yang berencana melamar pekerjaan di rumah sakit.

Format Surat Permohonan Registrasi B3 Lengkapi dengan tanda tangan pemohon dan cap perusahaan Formulir dibuat untuk masing-masing bahan B3 yang diajukan Jumlah formulir sesuai jumlah bahan yang diajukan Formulir dapat diunduh di website. Dan terutama bagi kawan kawan yang sedang mencari pekerjaan sebagai perawat di klinik atau puskesmas. Surat permohonan Registrasi Klinik yang ditujukan ke Sesditjen Pelayanan Kesehatan yang ditandatangani Kepala Klinik b.

Surat Izin Operasional Klinik. Kita sebagai jika sudah mempunyai pengalaman dan surat tanda registrasi maka kita berhak dan bebas bila ingin bekerja di manapun ataupun kita bisa membuka klinik sendiri. Contoh Surat Rasmi Permohonan Bantuan Perniagaan Contoh surat rasmi permohonan bantuan perniagaan baitulmal contoh surat rasmi permohonan bantuan perniagaan bumiputera contoh surat rasmi.

RSU ABC KLINIK ABC. Surat Pernyataan Penanggung Jawab NSW 5. Itulah contoh surat permohonan izin mendirikan klinik yang dapat admin kumpulkan.

Surat Permohonan Pendampingan

Surat Permohonan Pendampingan

Surat Permohonan Pembuatan Sip Doc

Surat Permohonan Pembuatan Sip Doc

Contoh Surat Resmi Permohonan Wawancara Contoh Surat Resmi Permohonan Wawancara Involve Some Pictures That Related One Another Find Tulisan Sekolah Belajar

Contoh Surat Resmi Permohonan Wawancara Contoh Surat Resmi Permohonan Wawancara Involve Some Pictures That Related One Another Find Tulisan Sekolah Belajar

Contoh Surat Permohonan Rekomendasi Surat Surat Pengantar Belajar

Contoh Surat Permohonan Rekomendasi Surat Surat Pengantar Belajar

Surat Permohonan Kode Rs Docx

Surat Permohonan Kode Rs Docx

Ben Jobs Surat Lamaran Kerja Rumah Sakit Yang Benar Surat Creative Cv Template Pendidikan

Ben Jobs Surat Lamaran Kerja Rumah Sakit Yang Benar Surat Creative Cv Template Pendidikan

Contoh Surat Lamaran Kerja Rekam Medis Ke Rumah Sakit Surat Medis Pimpinan

Contoh Surat Lamaran Kerja Rekam Medis Ke Rumah Sakit Surat Medis Pimpinan

Formulir Permohonan Pengesahan Penyelenggaraan Pelayanan

Formulir Permohonan Pengesahan Penyelenggaraan Pelayanan

Contoh Surat Permohonan Lamaran Kerja Di Puskesmas

Contoh Surat Permohonan Lamaran Kerja Di Puskesmas

5 Surat Lamaran Kerja Perawat Di Klinik Kebidanan Perawat Surat

5 Surat Lamaran Kerja Perawat Di Klinik Kebidanan Perawat Surat

Contoh Surat Permohonan Magang Kerja Yang Baik Dan Benar Surat Tanda Riwayat Hidup

Contoh Surat Permohonan Magang Kerja Yang Baik Dan Benar Surat Tanda Riwayat Hidup

Surat Permohonan Pengalihan Dana Docx

Surat Permohonan Pengalihan Dana Docx

16 Contoh Surat Permohonan Maaf Perusahaan Kepada Pelanggan Contoh Surat

16 Contoh Surat Permohonan Maaf Perusahaan Kepada Pelanggan Contoh Surat

Contoh Surat Izin Mendirikan Organisasi

Contoh Surat Izin Mendirikan Organisasi

Source : pinterest.com