Contoh Surat Permohonan Legalisir Stra

Permohonan Legalisir Stra Icha Docx

Permohonan Legalisir Stra Icha Docx

Permohonan Legalisir Stra Icha Docx

Permohonan Legalisir Stra Icha Docx

Surat Permohonan Legalisir Stra Docx

Surat Permohonan Legalisir Stra Docx

Tata Cara Legalisir Stra Pdf

Tata Cara Legalisir Stra Pdf

Stra 2 Jumlah Dokumen Legalisir Stra Yang Disetujui Akan Ditentukan Oleh Kfn Sesuai Dengan Alasan Pdf Document

Stra 2 Jumlah Dokumen Legalisir Stra Yang Disetujui Akan Ditentukan Oleh Kfn Sesuai Dengan Alasan Pdf Document

Tata Cara Legalisir Stra Pdf

Tata Cara Legalisir Stra Pdf

Tata Cara Legalisir Stra Pdf

Contoh surat permohonan legalisir pkp.

Contoh surat permohonan legalisir stra. Persyaratan Pindah Sekolah Ke Luar Negeri from wwwjangkargroupscoid Savesave contoh format legalisir dokumen kedinasanpdf for later. Foto Copy Transkip Nilai. Foto Copy Ijazah Legalisir.

Bila hasil legalisir diambil di kampus Polstat STIS oleh orang lain yang telah diberi kuasa surat permohonan harus dilampiri surat kuasa download contoh surat kuasa Terhitung mulai tanggal 1 Januari 2016 untuk hasil legalisir yang dikirimkan via pos ongkos kirim akan ditanggung oleh Polstat STIS. Contoh surat mebuat str Perihal. Contoh Surat Permohonan Legalisir KOP SURAT KANTOR TERCANTUM ALAMAT DAN NOMOR TELEPON KANTOR coret yang tidak perlu.

Karena itu saat membuat surat lamaran pekerjaan juga harus dibuat sebaik-baiknya. Nop nomor obyek pajak 1. Contoh permohonan surat keterangan nomor.

Apalagi jika berurusan dengan pembuatan acara kegiatan bakti sosial hingga urusan kedinasan. Kendala-kendala ini tidak dapat diselesaikan sendiri tanpa bantuan orang lain. Contoh surat permohonan bantuan dana yang dapat anda jadikan sebagai referensi dalam membuat surat permohonan bantuan dana yang baik dan benar adalah sebagai berikut.

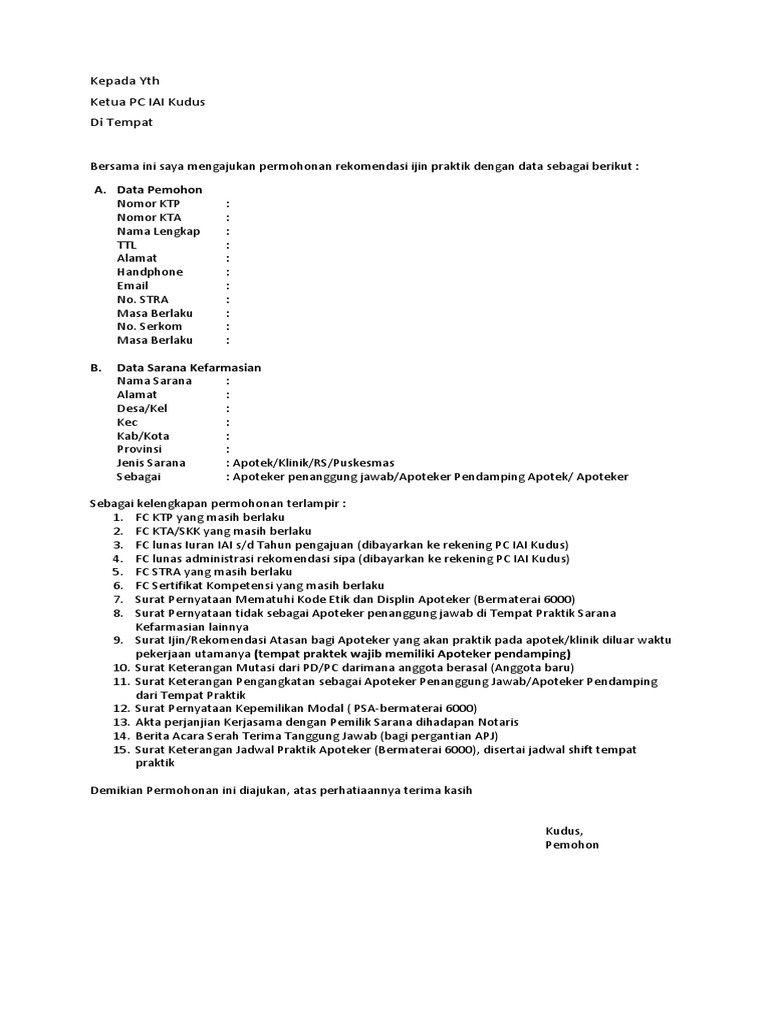
Pengajuan Legalisir STRA harus melampirkan berkas sebagai berikut. 11 Jun 2012 1157 siang rekan rekan ada yang punya contoh surat permohonan legaisir pkp. Contoh Surat Pemberitahuan Hasil Rapat yang Baik.

Ketua Komite Farmasi Nasional Kementerian Kesehatan Republik Indonesia Dengan hormat Yang bertanda tangan dibawah ini Nama Lengkap Tempat tanggal lahir Nomor Handphone Email Nomor STRA Alamat Surat Bersama ini mengajukan Permohonan Legalisir Surat Tanda Registrasi Apoteker STRA. Dengan adanya contoh ini silakan di modifikasi sesuai dengan. 99 contoh surat cinta romantis untuk senior pasangan.

Contoh Surat Lamaran Kerja Umum 2

Contoh Surat Lamaran Kerja Umum 2

Surat Permohonan Penggantian Ijasah Atau Transkrip

Surat Permohonan Penggantian Ijasah Atau Transkrip

Tata Cara Legalisir Stra

Tata Cara Legalisir Stra

Contoh Surat Kuasa Pengambilan Str Download Suratresmi Com

Contoh Surat Kuasa Pengambilan Str Download Suratresmi Com

Tata Cara Legalisir Surat Tanda Registrasi Apoteker Stra Terbaru Gudang Ilmu Farmasi

Tata Cara Legalisir Surat Tanda Registrasi Apoteker Stra Terbaru Gudang Ilmu Farmasi

Kerjakan Apa Yang Kamu Tulis Tulis Apa Yang Kamu Kerjakan Jadi Yang Mana Duluan Nulis Apa Kerja Melegalisir Surat Tanda Registrasi Apoteker Stra

Kerjakan Apa Yang Kamu Tulis Tulis Apa Yang Kamu Kerjakan Jadi Yang Mana Duluan Nulis Apa Kerja Melegalisir Surat Tanda Registrasi Apoteker Stra

Se Hk 02 02 Menkes 24 2017 Juklak Registrasi Izin Praktik Dan Izin K

Se Hk 02 02 Menkes 24 2017 Juklak Registrasi Izin Praktik Dan Izin K

Contoh Surat Keterangan Kerja Farmasi

Contoh Surat Keterangan Kerja Farmasi

Http Www Kki Go Id Assets Data Arsip Peraturan Konsil Kedokteran Indonesia Nomor 53 Tahun 2018 Pdf

Http Www Kki Go Id Assets Data Arsip Peraturan Konsil Kedokteran Indonesia Nomor 53 Tahun 2018 Pdf

Download Surat Pengajuan Stra Dan Pernyataan Mematuhi Peraturan Berlaku Catatan Harian Seorang Dosen Beasiswa Ilmiah Universitas Dan Hobi

Download Surat Pengajuan Stra Dan Pernyataan Mematuhi Peraturan Berlaku Catatan Harian Seorang Dosen Beasiswa Ilmiah Universitas Dan Hobi

Http Lib Ui Ac Id File File Digital 2016 11 20390733 Pr Exaudi 20ebennezer 20panjaitan Pdf

Http Lib Ui Ac Id File File Digital 2016 11 20390733 Pr Exaudi 20ebennezer 20panjaitan Pdf

15 Contoh Surat Pernyataan Pergantian Apoteker

15 Contoh Surat Pernyataan Pergantian Apoteker

Panduan Lengkap Cara Memperoleh Surat Tanda Registrasi Apoteker Stra Secara Online

Panduan Lengkap Cara Memperoleh Surat Tanda Registrasi Apoteker Stra Secara Online

Http Lib Ui Ac Id File File Digital 20366986 Pr Nurina 20fatmawati Laporan Pdf

Http Lib Ui Ac Id File File Digital 20366986 Pr Nurina 20fatmawati Laporan Pdf

Source : pinterest.com